Bumetanide D5

Bumetanide D5

Stable Isotopes
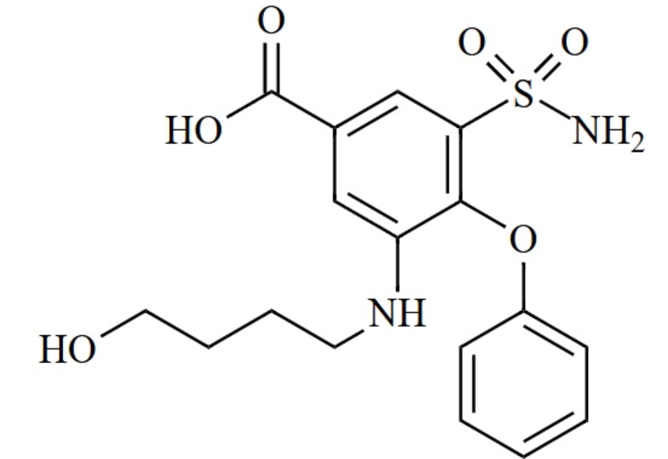
Bumetanide D5 is a Impurities of Bumetanide with CAS Registry No: 1216739-35-3
Availability: , For Exact delivery date, please contact sales@artis-standards.com

CAT No. : ASI067
API : Bumetanide
CAS No. : 1216739-35-3
Synonym : 3-(butylamino)-4-(phenoxy-d5)-5-sulfamoylbenzoic acid
Mol. formula : C17H15D5N2O5S
Mol. Weight : 369.45
Purity (By HPLC) : >98%

Related Products

Bumetanide Impurity 42... Impurity
CAS Number: 57584-25-5
Bumetanide Impurity 41... Impurity
CAS Number: 59182-21-7
Bumetanide Impurity 40... Impurity
CAS Number: 64433-50-7
Bumetanide... Working Standard
CAS Number: 28395-03-1