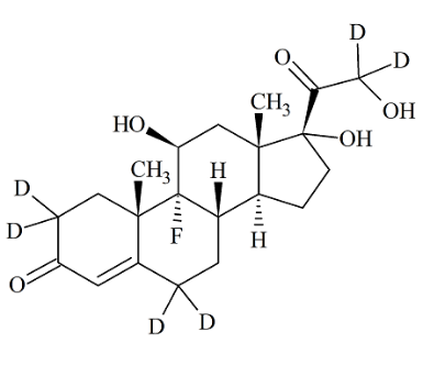
Fludrocortisone-D6 (major)

Fludrocortisone-D6 (major)

Stable Isotopes
Fludrocortisone-D6 (major) is a Impurities of Fludrocortisone with CAS Registry No:
Availability: , For Exact delivery date, please contact sales@artis-standards.com

CAT No. : AA0197
API : Fludrocortisone
Synonym : (11?)-9-Fluoro-11,17,21-trihydroxypregn-4-ene-3,20-dione-d6; 9?-Fluorohydrocortisone-d6; 9?-Fluoro-17-hydroxycorticosterone-d6; Fluohydrisone-d6; Astonin H-d6
Mol. formula : C21H23D6FO5
Mol. Weight : 386.49

Related Products

Fludrocortisone-21-Acetat... Stable Isotopes
CAS Number: NA