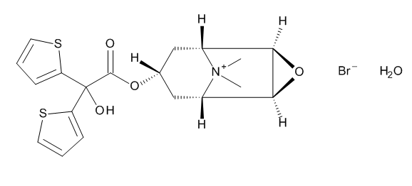
Tiotropium-D3 Bromide

Tiotropium-D3 Bromide

Stable Isotopes
Tiotropium-D3 Bromide is a Impurities of Tiotropium with CAS Registry No: 1127226-56-5
Availability: , For Exact delivery date, please contact sales@artis-standards.com

CAT No. : AA0331
API : Tiotropium
CAS No. : 1127226-56-5
Synonym : (1?,2?,4?,5?,7?)-7-[(2-Hydroxy-2,2-di-2-thienylacetyl)oxy]-9,9-dimethyl-3-oxa-9-azoniatricyclo[3.3.1.02,4]nonane-d3 Bromide;
Mol. formula : C19H19D3BrNO4S2
Mol. Weight : 475.43

Related Products

Tiotropium Bromide monohy... Working Standard
CAS Number: 139404-48-1